杭州市小客车增量指标摇号规则
一、摇号基本情况说明
(一)摇号主要流程
1、申请人在线申请或者通过窗口办理均可获得申请编码。
2、资格审核通过后,申请编码确认为有效编码。
3、将有效编码按绝对值大小排序,得到本期摇号编码。
4、经过摇号,产生种子数,代入线性同余发生器(LCG),产生摇号编码,映射有效编码排序表中的申请人有效编码。
5、公布摇号结果。
(二)摇号指标数的配置
根据市调控办的安排,系统设定每一期的以摇号方式配置的指标数量。
二、摇号工作规程
(一)操作规则
1、申请编码的随机产生
申请参加小客车增量指标的申请人的申请编码均为4+9共13位。其中,前4位为申请系统随机产生的数字,后面的9位数字,是系统根据申请人提交的时间产生的。申请人申请完毕后,就产生了13位的申请编码。该编码所对应的信息,经各部门审核通过后,即成为该申请人的有效编码。例如,张三申请获得的申请编码是:5406123456789,前面的5406是系统随机产生的,而后9个数字是系统根据张三提交申请时间产生的。如果张三通过资格审核,其申请编码即成为有效编码。摇号时,当月所有参加摇号的有效编码,会按照绝对数值的大小进行排列,逐一有序对应得到一个序号。如当月有100000人参加摇号,则按1、2、3、4、……100000得到序号。这个序号将作为摇号基数序号(每一期有效编码对应的基数序号会根据当期参与摇号的人数变动),也就是线性同余发生器(LCG)计算出的有效编码。
2、“种子数”的随机产生
在摇号现场,公证员监督下,工作人员通过电脑随机选取6个数字(每个数字从“0-9”10个数字中分别选取),组成一个原始的6位数字,俗称“种子”,然后由工作人员将该“种子”输入到符合国标《GB/T
10111—2008》规定的摇号客户端系统,通过线性同余发生器(LCG)运算,确定中签序号。
比如:假设100000人参加摇号,有5000个指标需要配置,则系统将根据随机产生的“种子”,通过线性同余发生器(LCG)运算得出5000个对应摇号基数序号,这5000个序号对应的有效编码就是本月的中签编码。如张三的有效编码是5406123456789,对应的摇号基数序号是1000号,如果系统抽出的种子数经运算后得出的5000个数值中有1000号,那张三就是本月中签的申请人。
(二)具体工作过程
1、摇号前期工作
(1)每月22日,工作人员将当月14日24时前提交申请且已审核通过的申请放入摇号池进行排序,排序号按照申请时确定的13位申请编码排序顺序生成。
(2)在公证员监督下,摇号管理工作人员导出本期摇号池数据(期号信息、总数、指标数、含配号的待摇号记录)刻录到不可更改光盘供摇号时导入,并由公证员封存备查;打印出本期摇号数据清单。
2、摇号现场实施工作
(1)摇号现场请公证人员全程公证,工作人员开启专用电脑,现场安装经查验封存的摇号软件【Windows平台客户端软件,不依赖数据库和网络】,导入封存的待摇号数据;公证人员确认摇号软件导入数据后显示的期号、总数、指标数信息与纸质摇号数据清单一致后,宣布摇号开始。
(2)在摇号现场,公证员监督下,工作人员通过电脑随机选取6个数字(每个数字从“0-9”10个数字中分别选取),组成一个原始的6位数字,产生 “种子”。
(4)工作人员按照“随机种子数”启动符合国标《GB/T 10111—2008》规定的摇号客户端系统,通过线性同余发生器(LCG)运算,确定中签编码,产生当期摇号结果。
(5)将摇号结果文件打包封存,宣布本期公证情况。
(6)工作人员将当期中签编码刻盘,分别由市调控办、公证处、市监察局各保存一份。
(7)中签结果刻录光盘,导入小客车总量调控管理信息系统。
3、摇号结果公布工作
(1)将中签数据导入摇号管理系统,开展中签后续流程:公示中签结果、生成指标记录、移入摇号历史池供查询、将中签情况提交给相关接口单位。
(2)中签发布文件PDF文件由发布系统进行公布,公众通过正确的MD5摘要值可以确定此文件是经公证有效未经篡改的中签记录文件。
(3)未中签者,其有效编码回到摇号池,在有效期内纳入下一次摇号配置,或根据申请人的变更配置方式要求重新进行配置。
(4)摇号结果公布后,申请人可登录小客车总量调控管理信息系统网站、浙江政务服务网或浙里办APP查询结果,中签者可自行下载或打印指标证明文件。
三、其他
针对摇号工作,系统已经制定了较为详尽的应急预案。如遇停电、硬件故障、系统故障等不可控原因,摇号工作延期举行,时间将另行通知。
附件:摇号算法说明
线性同余发生器(LCG)是目前使用最普遍、发展最迅速的产生随机数的数学方法,并在《GB/T10111—2008》规范性附录C中列出。
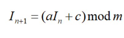
其算法数学公式如下:
公式:

I0: 初始值(种子seed) 摇号产生
a: 乘法器 (multiplier)
c: 增值(additive constant)
m: 模数(modulus)
mod:取模运算:(aIn+c)除以m后的余数
其中取得种子值I0使用摇随机数骰子方式产生。